
비누 만들기를 통해서 계면활성제의 작용을 이해하고 비누의 원리를 이해한다.
계면활성제의 소수성 탄화수소 사슬이 비극성의 유기 분자 쪽을 향하면서 유기 분자를 둘러싸게 되면 친수성 부분이 극성의 물 쪽에 노출되어서 전체적으로 커다란 극성 분자처럼 보이는 상태가 되는데 이를 에멀젼이라고 부르며, 비누과 합성 세제가 대표적인 계면 활성제 이다. 비누는 동물성 지방이나 식물성 기름을 수산화나트륨과 반응하여 생긴 지방산의 알칼리 염이다. 지방이나 기름은 글리세롤과 지방산의 반응에서 생기는 트라이글리세라이드 종류의 에스터이다.
지방이나 기름을 형성하는 지방산으로는 스테아르산이나 팔미트산과 같이 10개 이상의 탄소가 단일 결합으로 연결된 포화 지방산과 올레산이나 리놀산과 같이 이중 결합을 가진 불포화 지방산 등이 있다. 일반적으로 포화 지방산의 알킬기는 직선형의 긴 사슬 모양이기 때문에 서로 잘 겹쳐지지만, 불포화 지방산의 알킬기는 구부러진 모양이다. 따라서 일반적으로 포화지방에서 만들어진 트라이글리세라이드는 상온에서 고체의 지방이 되고, 불포화 지방산에서 만들어진 트라이글리세라이드는 액체의 기름인 경우가 많다. 지방이나 기름을 센염기와 반응시키면 카복실기가 떨어져 나오면서 지방산의 염과 함께 글리세롤이 형성된다. 이때 만들어진 지방산의 염이 비누이다. 비누 분자에서 긴 사슬 모양의 알킬기가 소수성을 나타내고, 카복실기가 친수성을 나타내기 때문에 계면활성제로 작용하게 된다.
비누화 반응
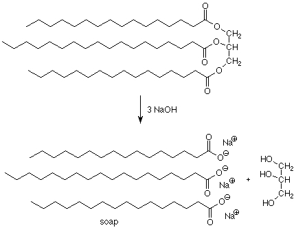
강한 염기에 의하여 에스테르가 분해되는 반응을 비누화 반응이라고 한다. 다시말하면, 에스테르류가 가수분해되어 카르복시산과 알코올이 되는 반응. 즉 에스테르화반응의 역반응이다. 예전에는 유지(油脂)·밀랍에 수산화알칼리를 반응시켜 비누·글리세롤 또는 고급알코올을 만드는 반응을 가리켰다. 반응식은 다음과 같다.

동물성 지방이나 식물성 기름 속에는 글리세릴 에스테르라는 화합물이 포함되어 있다. 자연에서 발견되는 대부분의 글리세릴 에스테르는 한 종류 이상의 카르복실기를 가지고 있는데 이러한 에스테르 화합물을 염기용액과 함께 가열하면 글리세롤과 지방산 염으로 가수분해 된다. 이러한 과정을 비누화반응(Sapoinfication : base-promoted ester hydrolysis) 이라고 한다.

일반적으로 비누화반응은 산 또는 염기(알칼리, 鹽基)를 촉매로 사용한다. 염기에 의한 촉매작용이 일반적으로 산에 비해 강하므로 염기에 의한 비누화가 더 잘 일어난다. 이 경우 생성물질인 카르복시산은 염의 형태로 되기 때문에, 용매로는 알코올 또는 알코올과 물의 혼합용매를 사용하고 염기로는 수산화나트륨 또는 수산화칼륨을 이론적 양의 3배 가량 사용해서 30분∼1시간 정도 끓여 비누화를 일으킨다. 산성에서의 비누화는 공업적으로 유지에서 글리세롤을 만드는 경우에 쓰이지만 촉매로 사용하는 묽은 황산이 유지와 혼합되지 않으므로 에멀션화제(유화제)를 사용해 에멀젼화하여 혼합한다.

여기서 n은 고급지방산의 산기로서 탄소 6개 이상의 지방산이 사용된다.
비누는 대표적인 계면활성제로서 분자의 한쪽에는 친수성기가 있고 반대쪽에는 친유성기(소수성)를 가지고 있다. 비누 분자내의 소수성 탄화 수소부분은 더러운 지방질 성분과 결합하여 미셸(micell)을 형성하게 된다. 미셸 표면의 친수성인 카르복실기는 주위의 물 분자와 상호 작용을 통해 옷이나 피부로부터 더러운 지방질 성분을 떼어내게 된다.

실험 방법
실험 A : 비누 만들기
① 식용유 20 g을(혹은 유지 20g와 올리브유 2g) 비커에 넣고 유리 막대로 저어주면서 35도까지 가열한다.
② 포화 NaOH 용액 6 ㎖와 에탄올 6 ㎖를 넣고 일정한 온도를 유지한 채 잘 저어 주면 서 계속 가열한다.
③ 다시 포화 NaOH 2 ㎖를 넣어 주고 용액이 끈끈하게 될 때까지(색깔은 노란색에서 옅은 노란색의 비누색으로 변화하면서 점도가 높아진다) 약 20분 동안 저어주면서 가열 한다.
④ 다음과 같은 방법으로 비누화 반응이 완결되었는가를 확인한다.
㉠ 손끝으로 문지르면 미끈미끈하면서 엷은 비늘 모양이 된다.
㉡ 나무젓가락 끝에 묻혀서 들어 올리면 끈기가 있다.
㉢ 투명하고 균일한 풀 모양의 용액이 된다.
㉣ 손에 묻힐 때 기름기나 물방울이 느껴지지 않는다.
㉤ 용액 전체가 반투명이고 거품이 있는 상태이다.
㉥ 소량의 알코올을 넣으면 완전히 녹는다.
㉦ 용액에 포화 NaCl 용액 3 ㎖를 여러 번에 나누어 넣고 그때마다 5~6 분씩 가열한다.
㉧ 향료나 염료를 첨가하고, 단단한 종이로 만든 틀에 부어 건조시킨다.
⑤ 비누화 반응이 끝난 용액에 포화 NaCl 용액 3㎖를 여러 번에 나누어 넣고 그때마다 5~6분씩 가열한다. 용액이 불투명하게 되어야 한다.
⑥ 향료나 염료를 첨가하고, 단단한 종이로 만든 틀에 부어 건조시킨다.
실험 B : 합성세제 만들기
① 100㎖ 비커에 1-도데칸올 1g과 진한 황산 1.6 ㎖를 넣는다.
② 다른 100㎖ 비커에 6 M NaOH 4 ㎖와 페놀프탈레인 용액 1 방울을 넣어서 섞는다. 이 용액을 ①에서 준비한 비커에 천천히 붓는다. 용액을 계속 저어주고, 페놀프탈레인의 붉은 색이 없어질 때까지 넣는다. 환기가 잘되는 곳에서 한다.
③ 하얀색의 거품이 생길 때 까지 저어준 후 세제가 굳을 때 까지 기다린다.
④ 증류수와 염화 칼슘을 녹인 물에 같은 양의 세제를 풀어서 거품이 생기는 정도를 비교한다.
실험 C : 글리세린의 회수
비누를 꺼낸 나머지 액은 묽은 염산으로 중화하고 여과하여 불순물을 걸러 내고 증발 접시에 옮겨 농축하고 냉각 후 여과한다. 이 액에 알코올 20 ㎖를 가하고 교반한다. 글리세린을 알코올에 옮긴다. 알코올을 증발농축하면 불순물 글리세린을 얻는다.
[일반화학실험]비누만들기 레포트
1. 실험 목적 1.1. 동물성과 식물성 기름을 이용해서 비누를 만들어 보고, 비누의 대체 물질로 활용되고 있는 합성 세제도 함께 합성한다. 1.2. 비누 만들기를 통해서 계면활성제의 작용을 이해하
www.happycampus.com
댓글