두 분자가 결합하면서 물과 더 큰 분자를 생성하는 화학 반응을 축합반응(condensation reaction)이라 부른다. 카르복시산과 알콜이 반응하여 에스테르를 만드는 반응이 축합 반응의 한 예이다. 두 개의 반응 분자가 서로 반응할 수 있는 각각의 작용기를 갖고 있다면 축합반응이 일어나 긴 고분자 사슬을 형성하는 것이 가능하다.
PET
테레프탈산과 같이 두 개의 카르복시산을 가진 분자와 에틸렌글리콜과 같이 두 개의 알콜기를 가진 분자는 둘의 말단에서 서로 반응을 할 수 있다.

이런 식으로 n개의 산과 알코올이 반응한다면 폴리에스테르로 알려진 거대한 고분자가 생성된다. 이 고분자가 PET(polyethylene terephthalate)라고 부르는 물질이다.

미국에서는 음료수 병, 편물, 타이어에 넣는 천, 식품 포장지 그리고 가정용 비품등을 만들기 위해 PET를 매년 200만톤 이상 생산한다.
폴리에스테르 섬유
폴리에스테르 섬유는 마이라와 다크론과 같은 이름으로 상품화되었다. 폴리에스테르 섬유 중에 자장 물질이 피복된 폴리에스테르 필름은 오디오와 TV 테이프를 만들기 위해 사용된다. 마이라(mylar)라는 이러한 필름은 특히 강하고 인간 머리카락의 1/30의 두께로 제조할 수 있다.
다크론(dacron)은 화학작용을 일으키지 않고 독성이 없고 어떤 염증도 일으키지 않으며 피의 응고를 일으키지 않는 특징을 갖고 있는 고분자물질이다. 따라서 이 물질은 심장 수술시 인간 혈관의 대용물인 다크론 튜브를 만드는데 사용된다. 중요한 다크론 헝겊은 화상을 입은 희생자들에게 피부대용으로 사용된다.
폴리아미드 섬유
축합 반응의 또 다른 중요한 형태는 카르복시산과 -NH2 작용기를 가지는 일차아민(primary amine)사이의 반응이다. 아민은 고온에서 카르복시산과 반응하여 물분자를 내어놓고 아미드(amide)를 형성한다.

따라서 두 개의 -NH2기를 가진 디아민의 물질과 두 개의 -COOH기를 가진 디카르복시산의 물질이 반응할 때 고분자가 생성된다. 이러한 유형의 반응으로 폴리아미드 섬유인 나일론이 만들어진다. 1928년에 Du Pont사는 Harvard 대학의 교수 출신인 Dr. Wallace Carothers(1896~1937) 박사의 연구 프로그램에 투자하였다. 이 연구 프로그램의 관심은 고무, 단백질 그리고 수지와 같은 고분자 화합물의 합성과 이 반응의 메카니즘 규명이었다. 이 연구는 결국 1935년 2월 아디프산(디카르복시산)과 헥사메틸렌디아민(디아민)으로부터 나일론-66으로 알려진 생산물을 만들어냈다.

나일론의 발견은 미국 섬유산업을 뒤흔들었다. 실크(silk)는 매우 비싸고 모직물은 긁히기 쉽고, 리넨(베)는 쉽게 부서지고, 면은 패션성이 떨어진다. 이것들 모두는 잘 구겨진다는 단점도 있다. 1930년대의 중반에 여성의 치마단이 짧아짐에 따라 스타킹의 요구가 커졌다. 나일론은 이런 요구들을 충족시켜야 할 적절한 시점에 나타난 합성섬유이다.
나일론은 여성들이 원하는 얇은 양말을 제조할 수 있었고 비단보다 더 질겨서 오랜 지속성이 있었다. 나일론으로 만든 긴 양말의 첫 번째 판매는 1938년 Du Pont의 본사가 있는 Delaware의 Wilmingtone에서 이루어 졌다. 2차 세계대전 때 나일론의 산업은 낙하산과 같은 전쟁 물자를 만드는 것으로만 이용되었다. 따라서 2차 세계대전이 끝나는 1945년까지는 나일론의 상업적 사용이 중단되었다. 나일론은 1952년 비로소 긴 양말의 제조와 더불어 섬유와 열가소성 플라스틱을 위해 생산되었다.
또 다른 폴리아미드 섬유인 케블라는 방탄조끼와 방화복을 만드는 데 사용된다. 케블라는 파라-페닐렌디아민과 테레프탈산으로부터 만들어지는 합성섬유이다.
포름알데히드 수지
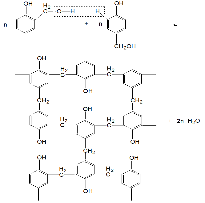
포름알데히드는 다양한 축합 고분자들을 합성하는 데 사용되는 중요한 물질이다. 최초의 열경화성 플라스틱은 1909년에 Leo Baekeland에 의해 합성된 페놀-포름알데히드의 공중합체(copolymer)이다. 페놀-포름알데히드 수지는 Bakelite라는 상품명을 갖고 합판 접착제, 유리 섬유수지 그리고 배전기 뚜껑, 라디오, 단추 같은 다양한 주조화합물을 만들기 위해 생산되고 있다. 페놀과 포름알데히드간의 반응은 처음에 페놀분자의 오르토(ortho)와 파라(para) 위치에 포름알데히드가 치환되면서 단계적으로 진행된다.

경화과정이 진행되는 동안 치환된 페놀분자들은 물을 분리해내고 교차-결합된 단위들의 3차원적 그물망을 형성한다.

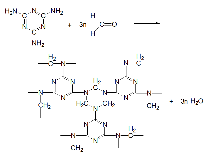
멜라민-포름알데히드 수지는 식기류(melmac), 코팅, 테이블 표면(formica)에 사용된다. 멜라민은 세 개의 우레아(urea) 분자들이 축합되어 형성된 고리분자이다.

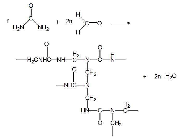
또 우레아-포름알데히드 수지는 입자와 판의 결합용 수지, 주조화합물 그리고 코팅제로서 사용된다.

포름알데히드는 여러가지 축합 고분자들의 합성에 사용되는 중요한 출발 물질이지만 독성과 발암성 등의 위험 요소들이 존재하므로 사용할 때 주의해야 한다.
[Chemistry/생활 속 화학] - 공업 화학 | 합성 유기 고분자
[Chemistry/생활 속 화학] - 공업 화학 | 폴리에틸렌과 폴리스티렌
[Chemistry/생활 속 화학] - 공업 화학 | 천연고무와 합성고무
[Chemistry/생활 속 화학] - 공업 화학 | 실리콘 중합체
[Chemistry/생활 속 화학] - 공업 화학 | 고분자 첨가제
[Chemistry/생활 속 화학] - 공업 화학 | 고분자의 미래
[Chemistry/생활 속 화학] - 공업 화학 | 페인트
[일반화학]공업화학 레포트
1. 합성 유기 고분자 자연의 생태계는 식물의 셀룰로오즈와 동물의 단백질 등과 같이 다양한 고분자(polymer)들을 만들고 있다. 근대 화학의 발달로부터 인간의 삶에 가장 큰 영향을 미친 것 중의 하나는 석유로부터 유도된 분자에서 고분자를 합성할 수 있었던 것이다. 그리고 오늘날에는 합성 고분자를 사용하지 않고서는 생활할 수 없을 정도에까지 이르렀다. 의복의 대부분이 합성 고분자이고 음식은 고분자 물질에 의해 포장되며 많은 기구나 설비 및 자동차들도 고
www.happycampus.com
댓글